publications
publications in reversed chronological order.
2025
- Sci Data
Unified 0.25-degree gridded infrastructure-critical extreme weather for the United States from 1979 to 2100Tao Sun, Chad Zanocco, June Flora, and 2 more authorsScientific Data, Sep 2025Extreme weather events can severely disrupt critical infrastructure, triggering cascading effects on power, transportation, and essential services. However, standard weather and climate datasets often lack specialized variables necessary for hazard assessments. We present a unified dataset of infrastructure-critical weather and climate variables across the United States at 0.25° resolution, covering daily or sub-daily intervals from 1979 to 2100. The dataset includes temperature, dew point, wind gusts, precipitation partitioned by rain, snow, and freezing rain or ice pellets, lightning, and wildfire metrics. Historical conditions (1979-2023) are synthesized from observations and reanalysis products, while future projections are derived from 14 CMIP6 global climate models (historical, SSP245, and SSP585 experiments). Physically based and data-driven methods are used to estimate variables not directly provided by existing models. By integrating these variables into a single unified dataset, we enable consistent, high-resolution assessments of weather-related infrastructure risks across past and future periods, supporting wide-ranging applications in energy, transportation, water resources, emergency management, and beyond.
@article{Sdata2025, title = {Unified 0.25-degree gridded infrastructure-critical extreme weather for the United States from 1979 to 2100}, author = {Sun, Tao and Zanocco, Chad and Flora, June and Sheshadri, Aditi and Rajagopal, Ram}, journal = {Scientific Data}, volume = {12}, number = {1}, pages = {1544}, year = {2025}, month = sep, publisher = {Nature Publishing Group}, doi = {10.1038/s41597-025-05918-5}, url = {https://doi.org/10.1038/s41597-025-05918-5}, } - Nat Energy
Solar and battery can reduce energy costs and provide affordable outage backup for US householdsTao Sun, Yuanhao Feng, Chad Zanocco, and 3 more authorsNature Energy, Aug 2025Distributed energy resources are promising solutions for household energy affordability and resilience as weather extremes and ageing infrastructure intensify grid-reliability risks. Here we present a comprehensive nationwide assessment of over 500,000 US households, evaluating economic and back-up viability of solar–battery systems. We find that 60% of households could reduce electricity costs with average savings of 15%, whereas 63% of households could achieve affordable back-up power during power outages covering an average of 51% of their essential energy needs. However, these benefits show limited alignment with areas of greatest need, particularly in regions facing high outage risks. We also identify notable disparities in access to solar and battery, with less-populated and disadvantaged communities showing consistently lower viability. These findings demonstrate the need for targeted policy interventions to ensure equitable access to solar–battery benefits, especially as states transition from net energy metering to other electricity tariff policies.
@article{Nenergy2025, title = {Solar and battery can reduce energy costs and provide affordable outage backup for US households}, author = {Sun, Tao and Feng, Yuanhao and Zanocco, Chad and Flora, June and Majumdar, Arun and Rajagopal, Ram}, journal = {Nature Energy}, volume = {10}, number = {8}, pages = {1025--1040}, year = {2025}, month = aug, publisher = {Nature Publishing Group}, doi = {10.1038/s41560-025-01821-w}, url = {https://doi.org/10.1038/s41560-025-01821-w}, } - Nat EnergySolar and batteries are affordable options for US householdsTao Sun, Yuanhao Feng, Chad Zanocco, and 3 more authorsNature Energy, Aug 2025
A majority of US households can reduce energy costs and access affordable backup power during outages through rooftop solar and battery storage. Policymakers need to evaluate and adopt measures to ensure high-outage-risk and energy-burdened communities have equitable access to these adaptation solutions as climate impacts intensify outages.
@article{NenergyNV2025, title = {Solar and batteries are affordable options for US households}, author = {Sun, Tao and Feng, Yuanhao and Zanocco, Chad and Flora, June and Majumdar, Arun and Rajagopal, Ram}, journal = {Nature Energy}, volume = {10}, number = {8}, pages = {928--929}, year = {2025}, month = aug, publisher = {Nature Publishing Group}, doi = {10.1038/s41560-025-01822-9}, url = {https://doi.org/10.1038/s41560-025-01822-9}, }
2024
- IEEE PESGM
Mapping the Depths: A Stocktake of Underground Power Distribution in United StatesTao Sun, Chad Zanocco, June Flora, and 1 more authorIn 2024 IEEE Power & Energy Society General Meeting (PESGM), Aug 2024A resilient energy infrastructure is crucial for addressing increasing extreme weather and climate risks. The undergrounding of the power system is one approach to building such resiliency. In this study, we introduce Grid Underground Distribution Statistics (GUDS) for the US, the first nationwide comprehensive assessment of underground electricity distribution at a high spatial granularity. In analyzing this dataset, we find regional differences in underground distribution rates, with generally higher rates for east and west coasts and in northern states, and lower rates in the central US. We also observe relationships between underground rates and factors such as household income levels, degree of urbanization, and vulnerability to natural hazards. Notably, regions with higher electricity rates are not associated with greater proportions of underground distribution, highlighting potential equity issues in infrastructure distribution. By presenting this granular information and insights on underground distribution, our study offers valuable guidance for informing planning and decision-making by policymakers, Independent System Operators, utilities, and end-users.
@inproceedings{PESGM2024, author = {Sun, Tao and Zanocco, Chad and Flora, June and Rajagopal, Ram}, booktitle = {2024 IEEE Power & Energy Society General Meeting (PESGM)}, title = {Mapping the Depths: A Stocktake of Underground Power Distribution in United States}, year = {2024}, pages = {1--5}, publisher = {IEEE}, doi = {10.1109/PESGM51994.2024.10688935}, }
2023
- Energy Build.
Cooling-related electricity consumption patterns for small and medium businesses in California: Current impacts and future projections under climate changeTao Sun, Chad Zanocco, June Flora, and 3 more authorsEnergy and Buildings, Aug 2023As global temperatures rise, the need to cool commercial buildings will increase, and with it, electricity demand. In this research we focus on small and medium businesses (SMBs), which collectively employ half of the US workforce, and propose methods to identify responsiveness of an SMBs’ electricity demand to warmer temperatures (temperature sensitivity). We also develop methods for projecting air conditioning adoption, temperature-related demand, and hourly demand patterns using future climate change scenarios. We applied these methods to a unique dataset of 60,000 SMBs from California containing one year of hourly electricity demand for each establishment. We found evidence that SMB temperature sensitivity is related to a variety of factors including business activities, climate zones, and daily usage patterns. Climate projections through 2100 reveal significant and heterogeneous impacts on both temperature-related demand and air conditioning adoption and that these impacts are unequal. Areas that are lower income, more rural, and have higher proportions of populations living in disadvantaged communities are projected to have comparatively higher increases in SMB demand. These findings suggest that climate-related impacts on SMBs and their employees could be substantial and disparate in the future, as well as a need for policies that can address these inequalities.
@article{EnergyBuildings2023, title = {Cooling-related electricity consumption patterns for small and medium businesses in California: Current impacts and future projections under climate change}, author = {Sun, Tao and Zanocco, Chad and Flora, June and Johnson, Samuel and Soto, Herie J. and Rajagopal, Ram}, journal = {Energy and Buildings}, volume = {295}, pages = {113301}, year = {2023}, publisher = {Elsevier}, doi = {10.1016/j.enbuild.2023.113301}, url = {https://doi.org/10.1016/j.enbuild.2023.113301}, } - Energy
Extreme event counterfactual analysis of electricity consumption in Brazil: Historical impacts and future outlook under climate changeGianlucca Zuin, Rob Buechler, Tao Sun, and 4 more authorsEnergy, Aug 2023Climate change and other disruptive events have a significant impact on the electrical grid, affecting both power supply and consumption. With the rise in frequency and severity of extreme events, like heatwaves and droughts, the stability and operations of the system are increasingly at risk. The COVID-19 pandemic, unrelated to climate, has also brought about dramatic shifts in global energy patterns. We apply machine learning to model electricity consumption counterfactuals for Brazil, one of the largest hydropower producers, to understand the effects of these events. By training our model on 23 years of data (1999–2021), we achieved a .848 R2 and 2.6% MAPE. This enabled us to assess the impact of historical events on electricity consumption at both hourly and daily levels. Next, we use climate change scenarios to forecast electricity consumption and find that Brazil’s capacity is unlikely to meet demand from 2070 on-wards. Our research provides much needed insight into the impact of extreme events on Brazil, with implications for understanding energy system responsiveness and resiliency. The counterfactual approach proposed is also transferable to other countries and contexts, with the potential for new application areas given interactions between extreme events, climate change, and transitioning energy systems.
@article{Energy2023, title = {Extreme event counterfactual analysis of electricity consumption in Brazil: Historical impacts and future outlook under climate change}, author = {Zuin, Gianlucca and Buechler, Rob and Sun, Tao and Zanocco, Chad and Galuppo, Francisco and Veloso, Adriano and Rajagopal, Ram}, journal = {Energy}, volume = {281}, pages = {128101}, year = {2023}, publisher = {Elsevier}, doi = {10.1016/j.energy.2023.128101}, url = {https://doi.org/10.1016/j.energy.2023.128101}, }
2022
- Nat Energy
Assessing Californians’ awareness of their daily electricity use patternsChad Zanocco, Tao Sun, Gregory Stelmach, and 3 more authorsNature Energy, Dec 2022The timing of electricity consumption is increasingly important for grid operations. In response, households are being encouraged to alter their daily usage patterns through demand response and time-varying pricing, although it is unknown if they are aware of these patterns. Here we introduce an energy literacy concept, ’load shape awareness’, and apply it to a sample of California residents (n = 186) who provided their household’s hourly electricity data and completed an energy use questionnaire. Choosing from four prominent load shape designations, half of respondents (51%) correctly identified their dominant load shape before COVID-19 shelter-in-place (SIP) orders while only one-third (31%) did so during SIP orders. Those aware of their load shape were more likely to have chosen evening peak, the most frequent dominant shape in the electricity data. Our work provides proof of principle for the load shape awareness concept, which could prove useful in designing energy conservation interventions and helping consumers adapt to an evolving energy system.
@article{NatEnergy2022, title = {Assessing Californians' awareness of their daily electricity use patterns}, author = {Zanocco, Chad and Sun, Tao and Stelmach, Gregory and Flora, June and Rajagopal, Ram and Boudet, Hilary}, journal = {Nature Energy}, volume = {7}, number = {12}, pages = {1191--1199}, year = {2022}, month = dec, publisher = {Nature Publishing Group}, doi = {10.1038/s41560-022-01156-w}, url = {https://doi.org/10.1038/s41560-022-01156-w}, } - IEEE PEM
The Grid Under Extremes: Pandemic Impacts on California Electricity ConsumptionDoron Bergman, Tao Sun, Elizabeth Buechler, and 2 more authorsIEEE Power and Energy Magazine, Dec 2022When confronted with crises and other extreme events, the core responsibility of the grid does not change: to meet society’s demand for electricity in a safe and reliable manner. However, these extreme events are now interacting with a transitioning grid system that is constantly evolving and adapting to meet new societal needs. This change includes the decarbonization of energy systems while also ensuring equity in its reliability, accessibility, and affordability of energy for all. In this article, we examine a single extreme event with unprecedented impacts on the energy system: the COVID-19 pandemic. Using California as an example, we explore in detail the pandemic-related impacts on electricity consumption and make recommendations for improving planning, forecasting, and other operations in response to extremes.
@article{IEEEPEM2022, title = {The Grid Under Extremes: Pandemic Impacts on California Electricity Consumption}, author = {Bergman, Doron and Sun, Tao and Buechler, Elizabeth and Zanocco, Chad and Rajagopal, Ram}, journal = {IEEE Power and Energy Magazine}, volume = {20}, number = {6}, pages = {38--46}, year = {2022}, publisher = {IEEE}, doi = {10.1109/MPE.2022.3199846}, } - iScience
Global changes in electricity consumption during COVID-19Elizabeth Buechler, Siobhan Powell, Tao Sun, and 6 more authorsiScience, Jan 2022Understanding how the COVID-19 pandemic has altered electricity consumption can provide insights into society’s responses to future shocks and other extreme events. We quantify changes in electricity consumption in 58 different countries/regions around the world from January-October 2020 and examine how those changes relate to government restrictions, health outcomes, GDP, mobility metrics, and electricity sector characteristics in different countries. We cluster the timeseries of electricity consumption changes to identify impact groupings that capture systematic differences in timing, depth of initial changes, and recovery rate, revealing substantial heterogeneity. Results show that stricter government restrictions and larger decreases in mobility (particularly retail and recreation) are most tightly linked to decreases in electricity consumption, although these relationships are strongest during the initial phase of the pandemic. We find indications that decreases in electricity consumption relate to pre-pandemic sensitivity to holidays, suggesting a new direction for future research.
@article{iScience2022, title = {Global changes in electricity consumption during COVID-19}, author = {Buechler, Elizabeth and Powell, Siobhan and Sun, Tao and Astier, Nicolas and Zanocco, Chad and Bolorinos, Jose and Flora, June and Boudet, Hilary and Rajagopal, Ram}, journal = {iScience}, volume = {25}, number = {1}, pages = {103568}, year = {2022}, month = jan, publisher = {Elsevier}, doi = {10.1016/j.isci.2021.103568}, url = {https://doi.org/10.1016/j.isci.2021.103568}, }
2021
- SSRN
Contracts with Aftermarket Substitution: The Case of PG&E and Electric BatteriesMohammad Rasouli, Tao Sun, and Ram RajagopalNov 2021Electric batteries are rapidly growing technologies that allow storing electricity at one time to be used in another. In recent years, many battery companies have entered the market for end-user batteries. These behind-the-meter batteries allow end-users (e.g. households) to store electricity at off-peak prices for use in peak price periods in order to reduce their bills. They also allow arbitrage on retailer’s temporal electricity prices. Electricity retailers facing increased use of batteries by end-users should respond by updating their offered prices. By finding the new optimal prices, the retailers would like to understand the impact of end-user battery technology on their surplus. In this paper, we focus on electricity retailer’s optimal electricity pricing considering incentives when batteries are available to the end-users, and study the impact of these batteries on retailer’s welfare. We consider an economy consisting of an electricity retailer, and heterogeneous end-users. The retailer buys electricity in the wholesale market and offers contracts to end-users, while the end-users can access behind-the-meter batteries via battery companies. To isolate the impact of batteries, we do not consider access to rooftop solar as alternative source of electricity in this study; in other words, the retailer is a monopolist.
@misc{SSRN2021, title = {Contracts with Aftermarket Substitution: The Case of PG&E and Electric Batteries}, author = {Rasouli, Mohammad and Sun, Tao and Rajagopal, Ram}, year = {2021}, month = nov, doi = {10.2139/ssrn.3910974}, url = {https://ssrn.com/abstract=3910974}, }
2020
- arXiv
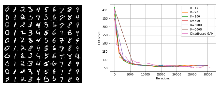
FedGAN: Federated Generative Adversarial Networks for Distributed DataMohammad Rasouli, Tao Sun, and Ram RajagopalNov 2020We propose Federated Generative Adversarial Network (FedGAN) for training a GAN across distributed sources of non-independent-and-identically-distributed data sources subject to communication and privacy constraints. Our algorithm uses local generators and discriminators which are periodically synced via an intermediary that averages and broadcasts the generator and discriminator parameters. We theoretically prove the convergence of FedGAN with both equal and two time-scale updates of generator and discriminator, under standard assumptions, using stochastic approximations and communication efficient stochastic gradient descents. We experiment FedGAN on toy examples (2D system, mixed Gaussian, and Swiss role), image datasets (MNIST, CIFAR-10, and CelebA), and time series datasets (household electricity consumption and electric vehicle charging sessions). We show FedGAN converges and has similar performance to general distributed GAN, while reduces communication complexity. We also show its robustness to reduced communications.
@misc{FedGAN2020, title = {FedGAN: Federated Generative Adversarial Networks for Distributed Data}, author = {Rasouli, Mohammad and Sun, Tao and Rajagopal, Ram}, year = {2020}, eprint = {2006.07228}, archiveprefix = {arXiv}, primaryclass = {cs.LG}, doi = {10.48550/arXiv.2006.07228}, url = {https://arxiv.org/abs/2006.07228}, } - IEEE TAC
On the Dynamics of Distributed Energy Adoption: Equilibrium, Stability, and Limiting CapacityTao Sun, Lang Tong, and Donghan FengIEEE Transactions on Automatic Control, Jan 2020The death spiral hypothesis in electric utility represents a positive feedback phenomenon in which a regulated utility is driven to financial instability by rising prices and declining demand. We establish conditions for the existence of death spiral and conditions of stable adoption of distributed energy resources. We show in particular that linear tariffs always induce death spiral when the fixed operating cost of the utility rises beyond a certain threshold. For two-part tariffs with connection and volumetric charges, the Ramsey pricing, which myopically optimizes social welfare subject to the revenue adequacy constraint, induces a stable equilibrium. The Ramsey pricing, however, inhibits renewable adoption with a high connection charge. In contrast, a two-part tariff with a small connection charge results in a stable adoption process with a higher level of renewable adoption and greater long-term total consumer surplus. Market data are used to illustrate various solar adoption scenarios.
@article{IEEETAC2020, title = {On the Dynamics of Distributed Energy Adoption: Equilibrium, Stability, and Limiting Capacity}, author = {Sun, Tao and Tong, Lang and Feng, Donghan}, journal = {IEEE Transactions on Automatic Control}, volume = {65}, number = {1}, pages = {102--114}, year = {2020}, month = jan, publisher = {IEEE}, doi = {10.1109/TAC.2019.2906723}, }
2019
- IEEE TSGCooperative Game for Carbon Obligation Allocation Among Distribution System Operators to Incentivize the Proliferation of Renewable EnergyQuan Zhou, Mohammad Shahidehpour, Tao Sun, and 2 more authorsIEEE Transactions on Smart Grid, Nov 2019
The inclusion of electricity consumption in carbon abatement policies can further exploit the carbon reduction potentials in power system operations. In this paper, we propose a strategy for the allocation of carbon obligation as penalties among distribution system operators (DSOs) to incentivize the proliferation of renewable energy. The proposed strategy considers the fairness of the carbon obligation allocation and ensures that DSOs located closer to carbon emitting units would be allocated higher carbon obligations. The interactions among DSOs using the cooperative game theory and the impact of power network topology are comprehensively analyzed in order to properly measure each DSO’s contribution to the system carbon obligation. The allocated carbon obligations as cost penalties would incentivize DSOs to accommodate additional renewable generation to reduce the DSO’s operation cost. Thus, the proposed allocation strategy provides a technical ground for reducing carbon emissions by dispatching the additional renewable generation and reducing high carbon emission generation. In this paper, Shapley value, Aumann–Shapley rule, and prenucleolus strategies are utilized as three alternatives to allocate carbon obligations among DSOs. Two additional strategies, which are based on existing bus carbon intensity assessments, are also revisited and compared. Relevant allocation problem constraints are presented for evaluating the merits of the proposed strategies. Two case studies are analyzed to highlight the performance of the proposed Shapley value-based strategy in terms of fairness and compatibility for accommodating the additional renewable energy and reducing carbon emissions in power systems.
@article{IEEETSG2019, title = {Cooperative Game for Carbon Obligation Allocation Among Distribution System Operators to Incentivize the Proliferation of Renewable Energy}, author = {Zhou, Quan and Shahidehpour, Mohammad and Sun, Tao and Feng, Donghan and Yan, Mingyu}, journal = {IEEE Transactions on Smart Grid}, volume = {10}, number = {6}, pages = {6355--6365}, year = {2019}, month = nov, publisher = {IEEE}, doi = {10.1109/TSG.2019.2903686}, }
2016
- IEEE PESGM
Directed graph based carbon flow tracing for demand side carbon obligation allocationTao Sun, Donghan Feng, Teng Ding, and 2 more authorsIn 2016 IEEE Power and Energy Society General Meeting (PESGM), Nov 2016In order to achieve carbon emission abatement, some researchers and policy makers have cast their focus on demand side carbon abatement potentials. This paper addresses the problem of carbon flow calculation in power systems and carbon obligation allocation at demand side. A directed graph based method for tracing carbon flow is proposed. In a lossy network, matrices such as carbon losses, net carbon intensity (NCI) and footprint carbon intensity (FCI) are obtained with the proposed method and used to allocate carbon obligation at demand side. Case studies based on realistic distribution and transmission systems are provided to demonstrate the effectiveness of the proposed method.
@inproceedings{IEEEPESGM2016, title = {Directed graph based carbon flow tracing for demand side carbon obligation allocation}, author = {Sun, Tao and Feng, Donghan and Ding, Teng and Chen, Lixia and You, Shi}, booktitle = {2016 IEEE Power and Energy Society General Meeting (PESGM)}, year = {2016}, pages = {1--5}, publisher = {IEEE}, doi = {10.1109/PESGM.2016.7741580}, } - IEEE TSG
Optimal Demand Contracting Strategy Under Uncertainty and Its Implication for Advanced PricingDonghan Feng, Tao Sun, Chen Fang, and 2 more authorsIEEE Transactions on Smart Grid, Jul 2016Based on the current practice of charging peak demand, an expectation-oriented stochastic model is established for the demand contracting decision of electricity users. The resultant optimization problem is proved to be nonlinear but convex. Thus, the first-order optimality condition of the proposed model, which leads to an integral equation founded on the probability density function of the peak load, is used to derive the optimal contracting strategy for consumers. Simulation results support the convexity of the proposed model and the effectiveness of the proposed solution method under different demand charging rules and different consumption patterns of customers.
@article{IEEETSG2016, title = {Optimal Demand Contracting Strategy Under Uncertainty and Its Implication for Advanced Pricing}, author = {Feng, Donghan and Sun, Tao and Fang, Chen and Shi, Yong and Xu, Shaolun}, journal = {IEEE Transactions on Smart Grid}, volume = {7}, number = {4}, pages = {1876--1885}, year = {2016}, month = jul, publisher = {IEEE}, doi = {10.1109/TSG.2015.2469736}, }